AIADA Reports October 2014 U.S. Auto Sales
![]() |
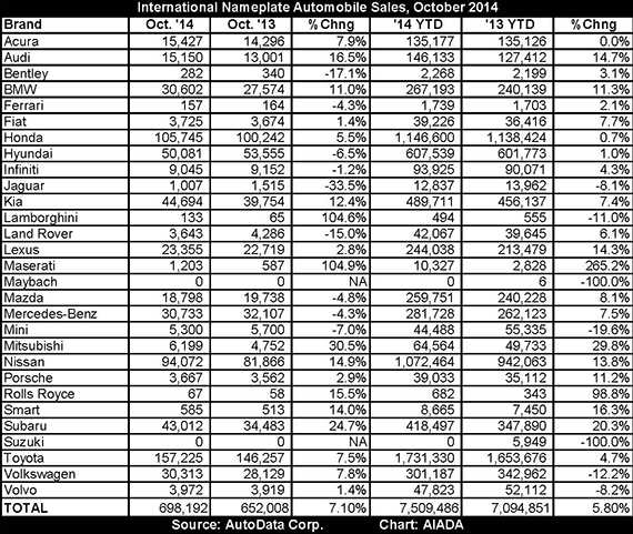
Washington DC October 4, 2014; Asian nameplate brands led October’s sales growth with a 7.8 percent improvement from October 2013. Honda was up 5.5 percent, Nissan’s sales grew 14.9 percent, Subaru’s sales grew 24.7 percent, and Toyota saw a 7.5 percent increase. European brands also made their mark in October. After 18 consecutive months of sliding sales, Volkswagen posted a 7.8 percent increase while BMW’s sales rose 11 percent.
“Falling gas prices and an improving economy are working together to drive sales,” said AIADA President Cody Lusk. “Trucks and SUVs are gaining popularity as the temperatures fall, and dealers are entering the holiday season with momentum.”
International Nameplates Favored by U.S. Buyers in October
Internationals’ share of the U.S. auto market climbed in October. Together, Asian and European brands occupied 54.5 percent of the market, up from 54.1 percent in September, but down from the 56.5 percent share they held in August. In total, international nameplate brands sold 698,192 vehicles, up from 674,871 last month and down from 895,602 in August.

Asian brands decreased their share of the market slightly from September’s 44.6 percent market share, capturing 44.3 percent. They sold 567,653 vehicles, up from 556,150 in September. Sales for Asian brands were also up 7.8 percent over October 2013 when they sold 526,814 vehicles and held 43.6 percent of the market. European brands maintained their momentum in October, taking 10.2 percent of the U.S. market, up from 9.5 percent last month and 8.5 percent in August. In total, they sold 130,539 vehicles, up from 118,721 in September. October sales also represented a 4.3 percent improvement for European nameplates over last October when they sold 125,194 units and occupied 10.4 percent of the U.S. auto market. Domestic nameplates finished the month with 45.5 percent of the market and sales of 583,121 vehicles, which was down from the 45.8 percent share they held in September.

Internationals Maintain Presence on Top Ten List
International nameplate models occupied five of the top ten-selling vehicle spots in October. At number four behind the Ford F-Series, Chevrolet Silverado, and Ram pickups, the Toyota Camry regained its lead as the top-selling car in the U.S. It was outsold by the Honda Accord in August and September. The Accord slipped to the sixth position behind the Honda CR-V, which was up 29.7 percent over October 2013. The Toyota Corolla also made a strong showing in October, occupying the seventh spot, while the Honda Civic—in tenth place—rounded out the list of top-selling international nameplates.

Internationals Maintain Strong N. American Manufacturing Presence
North American manufacturing units play an integral role in producing the vehicles sold by international brands in the U.S., and October was no exception. Together, these facilities produced 448,879 of the vehicles sold by international brands in the U.S. in October, up from 426,274 last month.
According to AutoData Corp., 235,690 cars built by Asian brands in North America represented 39.5 percent of all cars sold in the U.S. in October. Asian brands also sourced 176,028 trucks from these facilities, representing 25.7 percent of all U.S. truck sales. Meanwhile, European brands sourced 25,613 cars (representing 4.3 percent of total U.S. car sales) and 11,548 trucks (representing 1.7 percent of total U.S. car sales) from their North American facilities.

Outlook
AutoData Corp. estimates the seasonally adjusted annual rate (SAAR) for OctoberSeptember 2014 was 16.46 million units, versus 15.38 million units a year ago. Total industry unit deliveries increased 6.1 percent compared to last October and 2.8 percent compared to September 2014. Industrywide, 1,281,313 light vehicles were sold in October. Sales for all brands were up 6.1 percent from October 2013 and 5.5 percent year over year.

